Hello,
I was tracking beam through bunch compressor with chicane consisting of CSRCSBENDs and CSRDRIFTs and I noticed that energy lost by the beam depends on horizontal beam size. Is it the behavior one expects to see in ELEGANT? If so, could you please let me know how transverse beam size is taken into account in CSR calculus? I’ve been assuming that ELEGANT uses 1D CSR model (as described in Michael’s 2001 Phys. Rev. ST-AB paper) and thus results of CSR effect shall depend on longitudinal beam parameters only.
Thanks a lot!
Sergei
Dependence of CSR energy loss on transverse beam size
Moderators: cyao, michael_borland
-
michael_borland
- Posts: 2042
- Joined: 19 May 2008, 09:33
- Location: Argonne National Laboratory
- Contact:
Re: Dependence of CSR energy loss on transverse beam size
Sergei,
The only way I can think of that this might happen is through the dependence of path-length on x and x' . This could alter the longitudinal distribution in the dipole magnets and give the result you observe.
If you can post your input files, I can look at it more detail.
--Michael
The only way I can think of that this might happen is through the dependence of path-length on x and x' . This could alter the longitudinal distribution in the dipole magnets and give the result you observe.
If you can post your input files, I can look at it more detail.
--Michael
Re: Dependence of CSR energy loss on transverse beam size
Thank you, Michael,
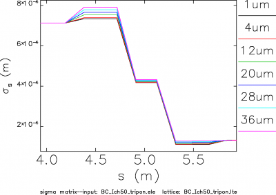
Here are the files. One of the ways to check that energy loss depends on horizontal beam size is to change horizontal emittance in .ele file. For instance, change in emittance from 4e-6 to 36e-6 drops energy loss at chicane exit (element CHICANE4) from 0.42MeV to 0.28MeV.
Thanks much,
Sergei
Here are the files. One of the ways to check that energy loss depends on horizontal beam size is to change horizontal emittance in .ele file. For instance, change in emittance from 4e-6 to 36e-6 drops energy loss at chicane exit (element CHICANE4) from 0.42MeV to 0.28MeV.
Thanks much,
Sergei
- Attachments
-
- BC_Ich50_tripon.ele
- (2.02 KiB) Downloaded 1065 times
-
- BC_Ich50_tripon.lte
- (2.82 KiB) Downloaded 976 times
-
michael_borland
- Posts: 2042
- Joined: 19 May 2008, 09:33
- Location: Argonne National Laboratory
- Contact:
Re: Dependence of CSR energy loss on transverse beam size
Sergei,
I confirmed this effect, as shown in the second plot, where I plot the momentum offset vs the emittance (x and y emittances are the same).
I'm pretty sure this is a result of the variation of the bunch length in the chicane dipoles as the emittance is varied. In the other plot, I show bunch length for several different emittances. For lower emittance, the bunch length is shorter in the dipoles, which leads to a stronger CSR effect. This agrees with the observed variation in energy loss with emittance.
--Michael
I confirmed this effect, as shown in the second plot, where I plot the momentum offset vs the emittance (x and y emittances are the same).
I'm pretty sure this is a result of the variation of the bunch length in the chicane dipoles as the emittance is varied. In the other plot, I show bunch length for several different emittances. For lower emittance, the bunch length is shorter in the dipoles, which leads to a stronger CSR effect. This agrees with the observed variation in energy loss with emittance.
--Michael
Re: Dependence of CSR energy loss on transverse beam size
Michael,
Thank you very much! That explains everything.
Sergei
Thank you very much! That explains everything.
Sergei