Hello,
I am new to elegant and I have a question relating to the principle of calculation the values of R_51, R_52 and R_56 and how the coordinate system and the bending angle and bending radius are defined.
In the past, I worked with a tool called “xbeam” which is a tool we use internally at our institute for the calculation of elements of the transport matrix (elements R_11 to R_66). Since xbeam is limited in its scope, I would like to switch to elegant.
In xbeam the coordinate system is defined as:
x goes to the left
y goes to the top
s goes inside the plane
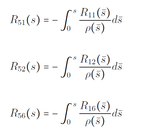
so that a right-handed coordinate system (x,y,s) results. With this definition of the coordinate system, we defined in xbeam the bending angle alpha and bending radius rho as positive, if the particle is deflected to the right, and defined the bending angle alpha and bending radius rho as negative, if the particle is deflected to the left. Furthermore, we defined in xbeam the transport matrix elements R_51, R_52 and R_56 as follows:
R_51 is the negative integral from 0 to s of R_11/rho
R_52 is the negative integral from 0 to s of R_12/rho
R_56 is the negative integral from 0 to s of R_16/rho
My question is: Does elegant use the same definitions for the coordinate system, bending angle and bending radius, and transport matrix elements as described above? (Please see the attached image and note the minus in the definitions of R_51, R_52 and R_56.) I am asking since the signs of the R_51, R_52 and R_56 elements are different in xbeam and elegant, and I am trying to find the cause.
Thanks in advance
Felix
definition of R_51, R_52, R_56, coordinate system, bending angle, bending radius
Moderators: cyao, michael_borland
-
- Posts: 2015
- Joined: 19 May 2008, 09:33
- Location: Argonne National Laboratory
- Contact:
Re: definition of R_51, R_52, R_56, coordinate system, bending angle, bending radius
Felix,
Elegant defines the R5X matrix elements as derivatives of the total distance traveled (coordinate 5) with respect to the initial coordinates. So R56 is ds/d(delta), which is the opposite sign convention to your equations.
--Michael
Elegant defines the R5X matrix elements as derivatives of the total distance traveled (coordinate 5) with respect to the initial coordinates. So R56 is ds/d(delta), which is the opposite sign convention to your equations.
--Michael
Re: definition of R_51, R_52, R_56, coordinate system, bending angle, bending radius
Hello Michael,
thank you for your quick response which answers my question in the case that elegant and xbeam have the same definitions for the coordinate system and bending angle / bending radius. Only for the completeness for other readers of this topic: In the elegant manual is written that elegant and MAD use the same definitions for the coordinate system and bending angle / bending radius, which are identical to those of xbeam as described above.
Best regards,
Felix
thank you for your quick response which answers my question in the case that elegant and xbeam have the same definitions for the coordinate system and bending angle / bending radius. Only for the completeness for other readers of this topic: In the elegant manual is written that elegant and MAD use the same definitions for the coordinate system and bending angle / bending radius, which are identical to those of xbeam as described above.
Best regards,
Felix