Hi all,
I am correcting the tune to realize the difference resonance (equal fractional betatron tunes)in order to obtain a round beam(emittance x is equal to emittance y) in a coupling lattice, and TWO quad families (Q1,Q2) that correct tunes is recommended.
"&correct_tunes " should follow "&twiss_output", which compute and output uncoupling Twiss parameters in elegant. How do I implement it in a coupling lattice? The coupling coefficient is about 0.01.
Thank you,
Chongchong
tune correction of coupling lattice
Moderators: cyao, michael_borland
-
michael_borland
- Posts: 2045
- Joined: 19 May 2008, 09:33
- Location: Argonne National Laboratory
- Contact:
Re: tune correction of coupling lattice
Chongchong,
I'm not sure I understand your question. My suggestion is to adjust the tunes to the resonance with all coupling terms (e.g., skew quads and quad tilts) turned off, then turn them back on.
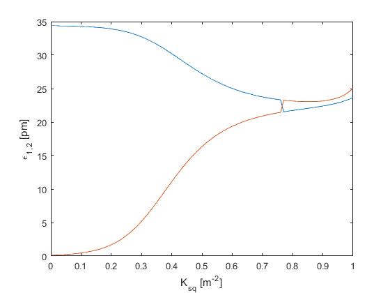
I've attached an example that may help. In this example, I tune the APS lattice to the difference resonance (nux=36.25, nuy=19.25), then vary the strength of a skew quadrupole. You can see how the emittances of the two transverse modes vary. One issue with these simulations is that elegant may misidentify the modes. In the above plot, you can see that it exchanges e1 and e2 as the skew quad gets stronger. In some cases, it may confuse the longitudinal mode for one of the transverse modes. So if e1 or e2 has a strange value, look at e3. I'm not sure why this happens but will look into it.
--Michael
I'm not sure I understand your question. My suggestion is to adjust the tunes to the resonance with all coupling terms (e.g., skew quads and quad tilts) turned off, then turn them back on.
I've attached an example that may help. In this example, I tune the APS lattice to the difference resonance (nux=36.25, nuy=19.25), then vary the strength of a skew quadrupole. You can see how the emittances of the two transverse modes vary. One issue with these simulations is that elegant may misidentify the modes. In the above plot, you can see that it exchanges e1 and e2 as the skew quad gets stronger. In some cases, it may confuse the longitudinal mode for one of the transverse modes. So if e1 or e2 has a strange value, look at e3. I'm not sure why this happens but will look into it.
--Michael
- Attachments
-
- tunesOnCouplingResonanceAPS.zip
- (2.92 KiB) Downloaded 662 times
-
ChongChong
- Posts: 7
- Joined: 16 Oct 2017, 07:15
Re: tune correction of coupling lattice
Dear Michael,
Thank you for your suggestion, and I follow your example.
Question 1:Theoretically, e1=e2=(e10+e20)/2=17.5 pm when I tune the lattice to the difference resonance(where e10 and e20 are initial emittance respectively). But the results (Fig.1) show that e1=e2=23pm. Could you help me solve my problem?
Question 2:In the paper EXPERIENCEWITH ROUND BEAM OPERATION AT THE ADVANCED PHOTON SOURCE, injection efficiency goes down significantly in the vicinity of the coupling resonance for the ratio of 6% as Fig.2 shows. I do not understand this phenomenon. Could you help me solve my problem? And whether injection efficiency can be simulated with elegant?
Thank you,
Chongchong
Thank you for your suggestion, and I follow your example.
Question 1:Theoretically, e1=e2=(e10+e20)/2=17.5 pm when I tune the lattice to the difference resonance(where e10 and e20 are initial emittance respectively). But the results (Fig.1) show that e1=e2=23pm. Could you help me solve my problem?
Question 2:In the paper EXPERIENCEWITH ROUND BEAM OPERATION AT THE ADVANCED PHOTON SOURCE, injection efficiency goes down significantly in the vicinity of the coupling resonance for the ratio of 6% as Fig.2 shows. I do not understand this phenomenon. Could you help me solve my problem? And whether injection efficiency can be simulated with elegant?
Thank you,
Chongchong
-
michael_borland
- Posts: 2045
- Joined: 19 May 2008, 09:33
- Location: Argonne National Laboratory
- Contact:
Re: tune correction of coupling lattice
Chongchong,
I plotted e1+e2 vs the skew quad strength. I naively expect it to be constant and equal to ex0. As you can see, it isn't exactly constant. I think this is a result of the dispersion function getting mismatched as the skew quadrupole gets strong. In the paper you cited, the reason injection efficiency suffers as the initial emittance ratio is increased is that this corresponds to faster exchange of oscillations between the x and y planes. That means the horizontal oscillations (from the large horizontal emittance and residual centroid) gets coupled into the vertical plane too quickly, before it damps out. Injection into a machine on the coupling resonance is possible, but it's important to make the coupling strength sufficiently weak.
--Michael
I plotted e1+e2 vs the skew quad strength. I naively expect it to be constant and equal to ex0. As you can see, it isn't exactly constant. I think this is a result of the dispersion function getting mismatched as the skew quadrupole gets strong. In the paper you cited, the reason injection efficiency suffers as the initial emittance ratio is increased is that this corresponds to faster exchange of oscillations between the x and y planes. That means the horizontal oscillations (from the large horizontal emittance and residual centroid) gets coupled into the vertical plane too quickly, before it damps out. Injection into a machine on the coupling resonance is possible, but it's important to make the coupling strength sufficiently weak.
--Michael
-
ChongChong
- Posts: 7
- Joined: 16 Oct 2017, 07:15
Re: tune correction of coupling lattice
Dear Michael,
In practice, is it necessary to add special skew quads(how many) for coupling to obtain a round beam? If adding a special skew quad, where is it at APS storage ring, in straight section or somewhere?
Thank you,
Chongchong
In practice, is it necessary to add special skew quads(how many) for coupling to obtain a round beam? If adding a special skew quad, where is it at APS storage ring, in straight section or somewhere?
Thank you,
Chongchong