Hi michael,
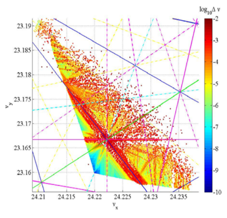
A result of the tune footprint of FMA is shown in fma2216.png. The tune of the lattice is (.22, .16), But the top in the tune footprint plot is not.
the top in the tune footprint is like (.204, .163).
Another result plot is made by LEGO.
I changed several number parameters in the ele file, but there is not change of the strange top value of (.204, .163) in the tune footprint.
An interesting problem in a tune footprint of FMA
Moderators: cyao, michael_borland
An interesting problem in a tune footprint of FMA
- Attachments
-
- da_fma.ele
- (678 Bytes) Downloaded 3236 times
Last edited by gwei on 22 Nov 2017, 13:18, edited 2 times in total.
Re: An interesting problem in a tune footprint of FMA
And I checked the .twi file also.
the nux and nuy are .22 and .16.
the nux and nuy are .22 and .16.
- Attachments
-
- elegant.twi
- (278.69 KiB) Downloaded 3515 times
-
- elegant.fma
- (394.84 KiB) Downloaded 3866 times
-
michael_borland
- Posts: 2050
- Joined: 19 May 2008, 09:33
- Location: Argonne National Laboratory
- Contact:
Re: An interesting problem in a tune footprint of FMA
Can you provide your .lte and .ele files? Otherwise, it is impossible to suggest a solution.
--Michael
--Michael
Re: An interesting problem in a tune footprint of FMA
HI Michael
ele file was attached already as the first attached file. 'da_fma.ele'
I modified my question topics
ele file was attached already as the first attached file. 'da_fma.ele'
I modified my question topics
Last edited by gwei on 22 Nov 2017, 13:43, edited 1 time in total.
-
michael_borland
- Posts: 2050
- Joined: 19 May 2008, 09:33
- Location: Argonne National Laboratory
- Contact:
Re: An interesting problem in a tune footprint of FMA
The problem is more likely to be in the .lte file. You can email it to me (borland at aps.anl.gov) if you don't want to post it.
Things to check are a sufficient number of kicks (N_KICKS parameter) on KQUAD and CSBEND elements.
--michael
Things to check are a sufficient number of kicks (N_KICKS parameter) on KQUAD and CSBEND elements.
--michael
Re: An interesting problem in a tune footprint of FMA
Thank you. I already email to you.michael_borland wrote:The problem is more likely to be in the .lte file. You can email it to me (borland at aps.anl.gov) if you don't want to post it.
Things to check are a sufficient number of kicks (N_KICKS parameter) on KQUAD and CSBEND elements.
--michael
-
michael_borland
- Posts: 2050
- Joined: 19 May 2008, 09:33
- Location: Argonne National Laboratory
- Contact:
Re: An interesting problem in a tune footprint of FMA
Guohui,
Thanks for sending the lattice. One problem is too few kicks for the quadrupoles. Some of your quadrupoles are quite long and not weak, so the lattice functions can change considerably inside them. This means you need more kicks to get a good model.
I got tunes of 0.219 and 0.160 by increasing the number of kicks by a factor of 2 on all quadrupoles. You may also try increasing this only for quads with larger K1*L.
You should also vary the value of N_KICKS on the CSBEND elements to ensure things have converged sufficiently.
--Michael
Thanks for sending the lattice. One problem is too few kicks for the quadrupoles. Some of your quadrupoles are quite long and not weak, so the lattice functions can change considerably inside them. This means you need more kicks to get a good model.
I got tunes of 0.219 and 0.160 by increasing the number of kicks by a factor of 2 on all quadrupoles. You may also try increasing this only for quads with larger K1*L.
You should also vary the value of N_KICKS on the CSBEND elements to ensure things have converged sufficiently.
--Michael
Re: An interesting problem in a tune footprint of FMA
michael_borland wrote:Guohui,
Thanks for sending the lattice. One problem is too few kicks for the quadrupoles. Some of your quadrupoles are quite long and not weak, so the lattice functions can change considerably inside them. This means you need more kicks to get a good model.
I got tunes of 0.219 and 0.160 by increasing the number of kicks by a factor of 2 on all quadrupoles. You may also try increasing this only for quads with larger K1*L.
You should also vary the value of N_KICKS on the CSBEND elements to ensure things have converged sufficiently.
--Michael
Thank you very much.