Hi Michael,
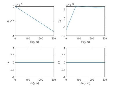
I confirmed the transmission model of bend with single particle tracking,when I set the DX of CSBEND with different values,the output as show in the uploading attachment。The particle initial coordinate at entrance is [0 0 0 0 0 0],the coordinate at exit is plot in the attachment.The intuitive idea is that the misalignment DX doesn't affect the particle exit coordinates,should I need to set some parameters of CSBEND?
Bend with misalignment
Moderators: michael_borland, soliday
-
michael_borland
- Posts: 2041
- Joined: 19 May 2008, 09:33
- Location: Argonne National Laboratory
- Contact:
Re: Bend with misalignment
Assuming the dipole has no gradient (K1=0) or other multipole content, the most likely explanation is that you have E1=0 on the dipole, which means sector focusing is present at the entrance. The the dipole misaligned in x, it is like having an offset quadrupole, which delivers a kick to the beam. It is only for a rectangular dipole (E1=E2=ANGLE/2) that one expects this effect to go away.
--Michael
--Michael
Re: Bend with misalignment
Hi Michael,
I set the E1 and E2 in CSBEND (E1=E2=ANGLE/2),I upload the files I use!The command used like this:
elegant bend.ele -macro=L=1.0972538663939300,ANGLE=0.0238688451731700,E1=0.0119344225865850,E2=0.0119344225865850,DX_B1=0.0003000000000000,DY_B1=0.0,DZ_B1=0.0,TILT_B1=0.0,DX=0.0,DY=0.0,DP=0.0,DXP=0.0,DYP=0.0,N_KICKS_B1=1000.0,EXPAND_HAMILTONIAN=1
We could change the DX_B1 value!
I set the E1 and E2 in CSBEND (E1=E2=ANGLE/2),I upload the files I use!The command used like this:
elegant bend.ele -macro=L=1.0972538663939300,ANGLE=0.0238688451731700,E1=0.0119344225865850,E2=0.0119344225865850,DX_B1=0.0003000000000000,DY_B1=0.0,DZ_B1=0.0,TILT_B1=0.0,DX=0.0,DY=0.0,DP=0.0,DXP=0.0,DYP=0.0,N_KICKS_B1=1000.0,EXPAND_HAMILTONIAN=1
We could change the DX_B1 value!
-
michael_borland
- Posts: 2041
- Joined: 19 May 2008, 09:33
- Location: Argonne National Laboratory
- Contact:
Re: Bend with misalignment
I cross-checked with the NIBEND element and got very close results. I think it is correct.
Since the misalignment is performed in the frame of the entrance coordinates, it might not behave the way you expect.
--Michael
Since the misalignment is performed in the frame of the entrance coordinates, it might not behave the way you expect.
--Michael
- Attachments
-
- bend.lte
- (232 Bytes) Downloaded 624 times