Implementation of bunch lengthning and transverse impedance
Moderators: cyao, michael_borland
-
Aamna_Khan
- Posts: 49
- Joined: 13 Oct 2016, 09:17
Implementation of bunch lengthning and transverse impedance
Hello Michael,
I’m studying the head-tail instability for NSLS-II by taking into account the intensity-dependent (zlong) bunch lengthening.
To do this, I tried to implement the initial bunch length obtained from zlongit simulations for a specific current and then gave the transverse impedance kick. This way horizontal oscillations didn’t reach to equilibrium as I expected too. Can you please suggest any correct and efficient way to implement this problem in elegant?
I’ve attached the files for your reference.
Thank you,
Aamna
I’m studying the head-tail instability for NSLS-II by taking into account the intensity-dependent (zlong) bunch lengthening.
To do this, I tried to implement the initial bunch length obtained from zlongit simulations for a specific current and then gave the transverse impedance kick. This way horizontal oscillations didn’t reach to equilibrium as I expected too. Can you please suggest any correct and efficient way to implement this problem in elegant?
I’ve attached the files for your reference.
Thank you,
Aamna
- Attachments
-
- test.zip
- (17.33 KiB) Downloaded 918 times
-
michael_borland
- Posts: 2050
- Joined: 19 May 2008, 09:33
- Location: Argonne National Laboratory
- Contact:
Re: Implementation of bunch lengthning and transverse impedance
Aamna,
Attached is an example of how to do this, using your lattice file. In brief, you should use ILMATRIX for such tracking as it is much faster and has sufficient physics.
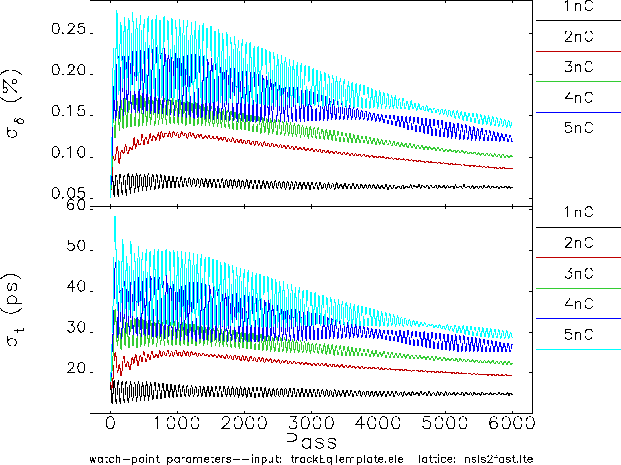
Here are some beam parameters vs pass number Here are the same parameters averaged over the last 500 turns vs charge --Michael
Attached is an example of how to do this, using your lattice file. In brief, you should use ILMATRIX for such tracking as it is much faster and has sufficient physics.
Here are some beam parameters vs pass number Here are the same parameters averaged over the last 500 turns vs charge --Michael
- Attachments
-
- example.zip
- (14.51 MiB) Downloaded 970 times
-
Aamna_Khan
- Posts: 49
- Joined: 13 Oct 2016, 09:17
Re: Implementation of bunch lengthning and transverse impedance
Thank you Michael!
Aamna
Aamna
Re: Implementation of bunch lengthning and transverse impedance
Dear Michael and all,
I try to simulate the microwave instability by tracking in Elegant but I can't find any logical result by changing the current from 0 to 6 mA. I used ZLONG by these parameters:
Rs=0.8 (ohm), f=7MGH and Q=1. It seems that the tracking doesn't see any instability or I made a mistake but I don't have any bunch length or energy spread increasing. The unusual result is like this: I attached my files too and it will be great if you can take a look at on it. Thanks in advance.
I try to simulate the microwave instability by tracking in Elegant but I can't find any logical result by changing the current from 0 to 6 mA. I used ZLONG by these parameters:
Rs=0.8 (ohm), f=7MGH and Q=1. It seems that the tracking doesn't see any instability or I made a mistake but I don't have any bunch length or energy spread increasing. The unusual result is like this: I attached my files too and it will be great if you can take a look at on it. Thanks in advance.
- Attachments
-
- microwave_instability.zip
- (328.51 KiB) Downloaded 784 times
Sara
-
michael_borland
- Posts: 2050
- Joined: 19 May 2008, 09:33
- Location: Argonne National Laboratory
- Contact:
Re: Implementation of bunch lengthning and transverse impedance
Sara,
At first blush, I guess it is because your 2-ps bin size is too large for a 6 ps rms bunch duration. Try 0.1 ps.
--Michael
At first blush, I guess it is because your 2-ps bin size is too large for a 6 ps rms bunch duration. Try 0.1 ps.
--Michael
Re: Implementation of bunch lengthning and transverse impedance
Dear Michael,
Thanks for your help. Finally, I increased the impedance budget and the resistive wall effect to achieve the logical behavior. But there is a question based on the result as I don't have the continuous increase in the energy spread, can I say that 2(mA) is a threshold current? and is it acceptable that I do not have smooth behavior in the energy spread?
Regards
Thanks for your help. Finally, I increased the impedance budget and the resistive wall effect to achieve the logical behavior. But there is a question based on the result as I don't have the continuous increase in the energy spread, can I say that 2(mA) is a threshold current? and is it acceptable that I do not have smooth behavior in the energy spread?
Regards
Sara
-
michael_borland
- Posts: 2050
- Joined: 19 May 2008, 09:33
- Location: Argonne National Laboratory
- Contact:
Re: Implementation of bunch lengthning and transverse impedance
Sara,
I'd suggest using more particles and finer spacing of the points in current. I'd hope that will give a clearer threshold.
--Michael
I'd suggest using more particles and finer spacing of the points in current. I'd hope that will give a clearer threshold.
--Michael
Re: Implementation of bunch lengthning and transverse impedance
Thanks Michael. I will try your suggestion. I have another question, I have some kind of handle in the bunch length during tracking. Can we consider them as microwave instability and is it usual that they disappear after some turns?
1000 Turns with 2 mA currents 4000 Turns with 2 mA currents
Regards
1000 Turns with 2 mA currents 4000 Turns with 2 mA currents
Regards
Sara
-
michael_borland
- Posts: 2050
- Joined: 19 May 2008, 09:33
- Location: Argonne National Laboratory
- Contact:
Re: Implementation of bunch lengthning and transverse impedance
Sara,
Unless the handles reappear, I wouldn't consider that MWI. It may just be the bunch settling into the rf bucket that is distorted by potential well distortion.
--Michael
Unless the handles reappear, I wouldn't consider that MWI. It may just be the bunch settling into the rf bucket that is distorted by potential well distortion.
--Michael
Re: Implementation of bunch lengthning and transverse impedance
Dear Michael,
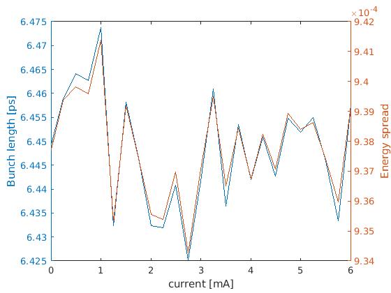
Thanks for the help. I increase the number of particles from 150,000 to 1,500,000 and it worked:) as below: Based on the result can I announce 0.5 mA as the threshold current? Also, I try to know how the beam behaves in MWI. For this, I plotted t,p from the watch file for each current as below in different steps. Is it correct if I consider the change in the behavior of the beam in the plot as MWI? Regards,
Thanks for the help. I increase the number of particles from 150,000 to 1,500,000 and it worked:) as below: Based on the result can I announce 0.5 mA as the threshold current? Also, I try to know how the beam behaves in MWI. For this, I plotted t,p from the watch file for each current as below in different steps. Is it correct if I consider the change in the behavior of the beam in the plot as MWI? Regards,
Sara