Hi Michael,
I am having trouble to calculate the momentum aperture and Touschek's lifetime in a two-energy storage ring. We have two rings connected through SRF cavities. Low energy ring (150 MeV) and High energy ring (1000 MeV) are connected by SRF cavities which first accelerates the beam and then in the next pass decelerates the beam making Low energy ring at 150 MeV and High energy ring at 1000 MeV.
I want to calculate the momentum aperture for the whole system including series of RF cavities (accelerating, harmonic and decelerating cavities in the beam-line). I tried to calculate the momentum aperture for the individual rings. However, I realized that, it is not the right way. We should take the whole ring to figure out the momentum aperture. However, taking the whole ring to calculate the momentum aperture gives unusual results (see the attached image).
How to calculate the momentum aperture in a storage ring which has two central momentum values? Attached png is momentum aperture for the whole ring. The corresponding elegant run file and lattice file are attached.
Any help will be appreciated.
Sincerely,
Bhawin
Momentum aperture in a two energy storage ring
Moderators: cyao, michael_borland
Momentum aperture in a two energy storage ring
- Attachments
-
- mawholering.png (6.36 KiB) Viewed 110566 times
-
- SR_1000MeV.lte
- (9.19 KiB) Downloaded 3964 times
-
- SR_1000MeV.ele
- (1.4 KiB) Downloaded 3548 times
-
michael_borland
- Posts: 2046
- Joined: 19 May 2008, 09:33
- Location: Argonne National Laboratory
- Contact:
Re: Momentum aperture in a two energy storage ring
Bhawin,
I modified your input file (see attached) and get a somewhat different result, though the character is similar. I think this is a correct result, because the accelerating and decelerating cavities should, respectively, decrease and increase the momentum spread. So a particle that is given a momentum offset of, say, 1% in the high-energy section will see that turned into a bigger fractional offset in the low-energy section. (It's not quite that simple because of momentum compaction, which changes the arrival phase at the cavities according to the fractional momentum offset.) Hence, the high-energy section will have its fractional momentum acceptance reduced by the ratio of the energies, if all other things are equal.
--Michael
I modified your input file (see attached) and get a somewhat different result, though the character is similar. I think this is a correct result, because the accelerating and decelerating cavities should, respectively, decrease and increase the momentum spread. So a particle that is given a momentum offset of, say, 1% in the high-energy section will see that turned into a bigger fractional offset in the low-energy section. (It's not quite that simple because of momentum compaction, which changes the arrival phase at the cavities according to the fractional momentum offset.) Hence, the high-energy section will have its fractional momentum acceptance reduced by the ratio of the energies, if all other things are equal.
--Michael
- Attachments
-
- SR_1000MeV.ele
- (1.4 KiB) Downloaded 3633 times
Re: Momentum aperture in a two energy storage ring
Hi Michael,
Thank you so much for your reply. It is of great help.
But, how to calculate Touschek's lifetime in this case? What is the formula that Elegant does use to calculate Touschek's lifetime?
After running the momentum aperture simulation for the whole ring, I separate the momentum aperture for the whole ring into two separate momentum aperture output files: ler.mmap and her.mmap which are then the momentum aperture files for low energy ring and high energy ring respectively. In the same way, I do split the twiss file for the whole ring into two separate twiss files, ler.twi and her.twi for low energy ring and high energy ring respectively.
Finally, using the touschekLifetime method as explained in elegant user manual, I calculate Touschek lifetime for each rings separately. In this case, I have used the corresponding parameters for each rings, i.e.,touschekLifetime -twiss=.twi, -aperture = .mmap -coupling=, -particles=, -length=, -emitInput=, -deltaInput=, for each rings.
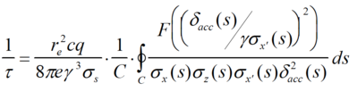
I also calculate Touschek's lifetime for each rings using the formula (see attached png) but there is a discrepancy in calculated values and elegant given values for Touschek's lifetime.
Am I doing the right way? Or there exists some special techniques to calculate Touschek's lifetime in two-energy storage ring. Since, two-energy storage ring has two different p_central values.
Thank you so much. I will be grateful for any help you can provide.
Sincerely,
Bhawin
Thank you so much for your reply. It is of great help.
But, how to calculate Touschek's lifetime in this case? What is the formula that Elegant does use to calculate Touschek's lifetime?
After running the momentum aperture simulation for the whole ring, I separate the momentum aperture for the whole ring into two separate momentum aperture output files: ler.mmap and her.mmap which are then the momentum aperture files for low energy ring and high energy ring respectively. In the same way, I do split the twiss file for the whole ring into two separate twiss files, ler.twi and her.twi for low energy ring and high energy ring respectively.
Finally, using the touschekLifetime method as explained in elegant user manual, I calculate Touschek lifetime for each rings separately. In this case, I have used the corresponding parameters for each rings, i.e.,touschekLifetime -twiss=.twi, -aperture = .mmap -coupling=, -particles=, -length=, -emitInput=, -deltaInput=, for each rings.
I also calculate Touschek's lifetime for each rings using the formula (see attached png) but there is a discrepancy in calculated values and elegant given values for Touschek's lifetime.
Am I doing the right way? Or there exists some special techniques to calculate Touschek's lifetime in two-energy storage ring. Since, two-energy storage ring has two different p_central values.
Thank you so much. I will be grateful for any help you can provide.
Sincerely,
Bhawin
-
michael_borland
- Posts: 2046
- Joined: 19 May 2008, 09:33
- Location: Argonne National Laboratory
- Contact:
Re: Momentum aperture in a two energy storage ring
Bhawin,
What you are doing sounds basically fine. However, be aware that some of the parameters (pCentral, ex0, Sdelta0) used for the touschek lifetime computation are taken from parameters in the twiss output file. These are computed for the entire ring or at the start of the ring. When you split the twiss file, you need to modify those parameters so they are appropriate to the part of the ring you are covering.
--Michael
What you are doing sounds basically fine. However, be aware that some of the parameters (pCentral, ex0, Sdelta0) used for the touschek lifetime computation are taken from parameters in the twiss output file. These are computed for the entire ring or at the start of the ring. When you split the twiss file, you need to modify those parameters so they are appropriate to the part of the ring you are covering.
--Michael
Re: Momentum aperture in a two energy storage ring
Hi Michael,
Thank you so much for your reply. Now I am able to get Touschek's lifetime for each ring. I have used the analytical formula (formula attached in the previous post) to calculate the lifetime in each ring. And also I use ELEGANT to calculate the corresponding tLifetime for each ring. The Touschek's lifetime calculated using the analytical formula and ELEGANT (touschekLifetime ler.life -twiss=ler.twi -aper=ler.mmap -particle=6.9E10 -coupling=0.05 -length=25...) agrees well for low energy ring case. But in the high energy ring part, there is a discrepancy in Touschek lifetime values using analytical formula and ELEGANT method (discrepancy almost by a factor of 2).
As you mentioned before, I have redefined pCentral, ex0 and Sdelta0 in the high energy ring twiss file. Then the corresponding twiss file and mmap files are used to calculate the tLifetime in high energy ring using ELEGANT. I am unable to figure out the discrepancy in high energy ring case.
I will be grateful for any help you can provide.Thank you so much.
Sincerely,
Bhawin
Thank you so much for your reply. Now I am able to get Touschek's lifetime for each ring. I have used the analytical formula (formula attached in the previous post) to calculate the lifetime in each ring. And also I use ELEGANT to calculate the corresponding tLifetime for each ring. The Touschek's lifetime calculated using the analytical formula and ELEGANT (touschekLifetime ler.life -twiss=ler.twi -aper=ler.mmap -particle=6.9E10 -coupling=0.05 -length=25...) agrees well for low energy ring case. But in the high energy ring part, there is a discrepancy in Touschek lifetime values using analytical formula and ELEGANT method (discrepancy almost by a factor of 2).
As you mentioned before, I have redefined pCentral, ex0 and Sdelta0 in the high energy ring twiss file. Then the corresponding twiss file and mmap files are used to calculate the tLifetime in high energy ring using ELEGANT. I am unable to figure out the discrepancy in high energy ring case.
I will be grateful for any help you can provide.Thank you so much.
Sincerely,
Bhawin
Re: Momentum aperture in a two energy storage ring
Hi Michael,
I solved the problem. I need to reset 's' column in the high energy ring twiss file. The integration function otherwise takes the values ranging from 171.7 to 343.4 m in the high energy ring that giving the factor of '2' difference in Touschek lifetime. After doing that, 's' column in the high energy ring twiss takes the values ranging from 0 to 171.7 m. Resetting is done using sddsprocess as:
sddsprocess her_ring.twi -redefine=col,s,"s 171.7 -*"
Thank you so much.
Sincerely,
Bhawin
I solved the problem. I need to reset 's' column in the high energy ring twiss file. The integration function otherwise takes the values ranging from 171.7 to 343.4 m in the high energy ring that giving the factor of '2' difference in Touschek lifetime. After doing that, 's' column in the high energy ring twiss takes the values ranging from 0 to 171.7 m. Resetting is done using sddsprocess as:
sddsprocess her_ring.twi -redefine=col,s,"s 171.7 -*"
Thank you so much.
Sincerely,
Bhawin
Re: Momentum aperture in a two energy storage ring
Dhital wrote: ↑12 Oct 2020, 08:02Hi Michael,
I am having trouble to calculate the momentum aperture and Touschek's lifetime in a two-energy storage ring. We have two rings connected through SRF cavities. Low energy ring (150 MeV) and High energy ring (1000 MeV) are connected by SRF cavities which first accelerates the beam and then in the next pass decelerates the beam making Low energy ring at 150 MeV and High energy ring at 1000 MeV.
I want to calculate the momentum aperture for the whole system including series of RF cavities (accelerating, harmonic and decelerating cavities in the beam-line). I tried to calculate the momentum aperture for the individual rings. However, I realized that, it is not the right way. We should take the whole ring to figure out the momentum aperture. However, taking the whole ring to calculate the momentum aperture gives unusual results (see the attached image).
How to calculate the momentum aperture in a storage ring which has two central momentum values? Attached png is momentum aperture for the whole ring. The corresponding elegant run file and lattice file are attached.
Any help will be appreciated.
Sincerely,
Bhawin
Hi Bhawin,
How did you plot the magnet lattice in the elegant figure? sddsplot - ???
And you formula is different from the formulat in ELEGANT, how much difference between the two results?