Dear Michael
I would like to simulate the influence of time-dependant transverse-kick provided by a TM01 mode cavity with the presence of central orbit perturbation in a storage ring. Using paraxial approximation, a transverse electric-field exists and it is proportional to the beam offset as well as the beam arrival phase.
From the manual, it seems that the RFTMEZ0 element has an option for radial electric-field, RADIAL_ORDER.
But there is no real influence with different offset when I did simulations.
Do you have any suggestions for this simulation?
Simulation for time-dependent transverse kick by TM01 cavity
Moderators: cyao, michael_borland
-
Hwang, Ji-Gwang
- Posts: 42
- Joined: 21 Jan 2010, 02:27
-
michael_borland
- Posts: 2046
- Joined: 19 May 2008, 09:33
- Location: Argonne National Laboratory
- Contact:
Re: Simulation for time-dependent transverse kick by TM01 cavity
Ji-Gwang,
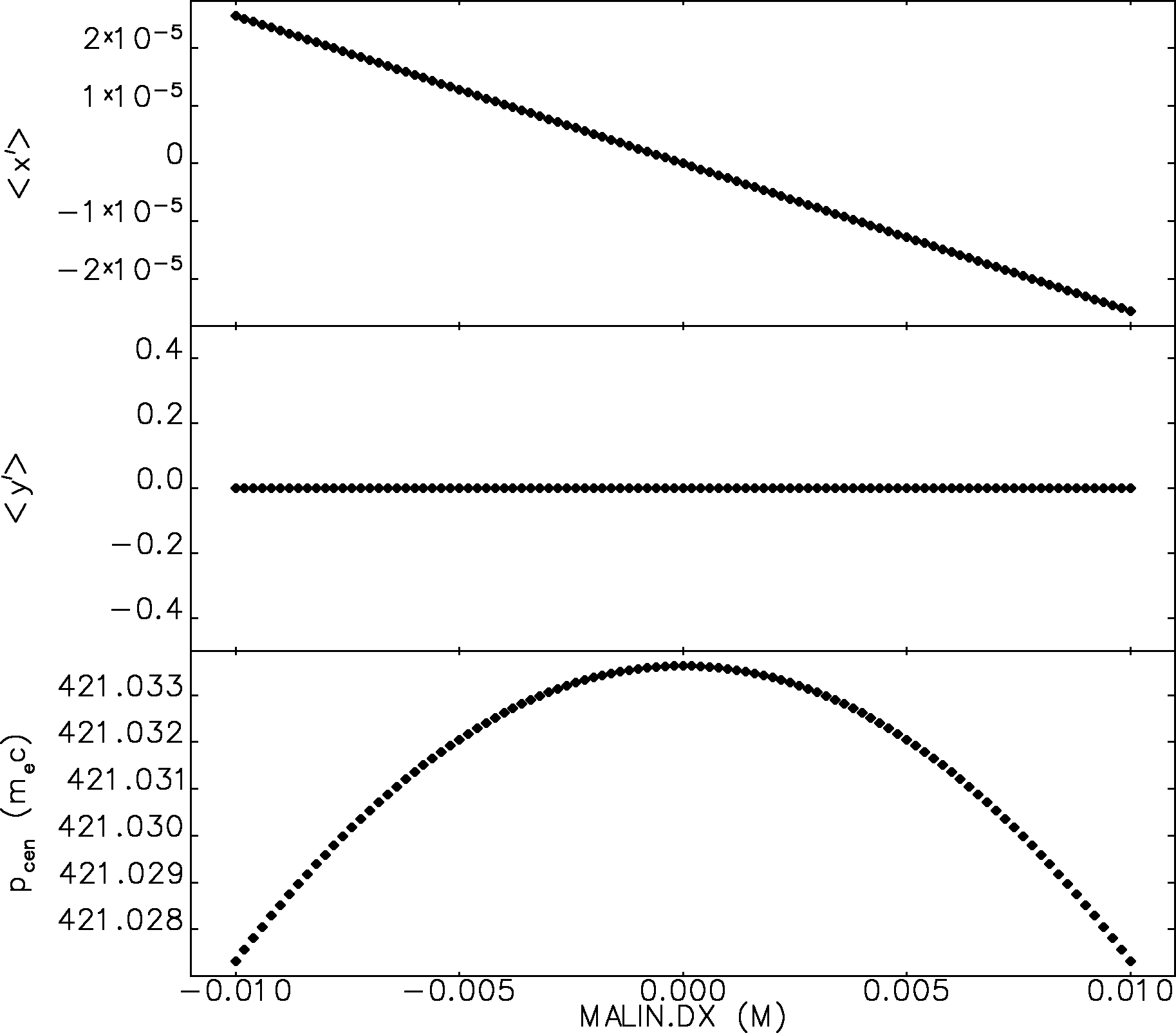
Here's an example with RFTMEZ0 showing how beam gets deflected by the radial fields. I scanned the initial x coordinate of a particle between -10mm and +10mm. At the end, the slope varies linearly due to the radial fields. --Michael
Here's an example with RFTMEZ0 showing how beam gets deflected by the radial fields. I scanned the initial x coordinate of a particle between -10mm and +10mm. At the end, the slope varies linearly due to the radial fields. --Michael
- Attachments
-
- RFTMEZ0.zip
- (22.47 KiB) Downloaded 617 times
-
Hwang, Ji-Gwang
- Posts: 42
- Joined: 21 Jan 2010, 02:27
Re: Simulation for time-dependent transverse kick by TM01 cavity
Dear Michael
thank you for your reply.
What I exactly want to try is that a phase-dependent kick by the cavity since the transverse electric field of a TM01 cavity depends not only on a beam offset but also on the cavity phase. But there is no clear correlation between t and xp when a tracking simulation has been performed with a long bunch.
Best regards
Ji-Gwang Hwang
thank you for your reply.
What I exactly want to try is that a phase-dependent kick by the cavity since the transverse electric field of a TM01 cavity depends not only on a beam offset but also on the cavity phase. But there is no clear correlation between t and xp when a tracking simulation has been performed with a long bunch.
Best regards
Ji-Gwang Hwang
-
michael_borland
- Posts: 2046
- Joined: 19 May 2008, 09:33
- Location: Argonne National Laboratory
- Contact:
Re: Simulation for time-dependent transverse kick by TM01 cavity
Ji-Gwang,
Perhaps the effect is hidden by the beam size and divergence. When I try this with a single particle, the results are as expected.
--Michael
Perhaps the effect is hidden by the beam size and divergence. When I try this with a single particle, the results are as expected.
--Michael
- Attachments
-
- RFTMEZ0.zip
- (23.44 KiB) Downloaded 615 times
-
Hwang, Ji-Gwang
- Posts: 42
- Joined: 21 Jan 2010, 02:27
Re: Simulation for time-dependent transverse kick by TM01 cavity
Thank you for your kind explanation with a good example.
I have checked that again and found that the kick effect is smaller than the initial angular distribution.
I have checked that again and found that the kick effect is smaller than the initial angular distribution.