Hi,
I was trying to model tracking in a TESLA crymodule, with both LSCDRIFT and ZWAKE included.
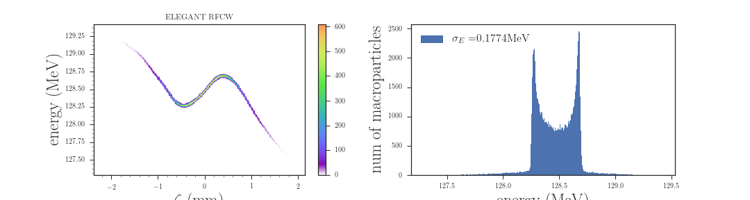
Unfortunately, I could not get rid of the noise in energy distribution for small transverse radius, without cutting off the frequency at very low value and choosing very small number of bins.
For instance, with transverse radius about 10^-5, I have to set LSC_HIGH_FREQUENCY_CUTOFF0=0.1, LSC_BINS=200, sg_order=2, sg_halfwidth="4" to module just LSC in RFCW, to get rif of the noise.
However, if I include ZWAKE together, I will see the noise in energy distribution again.
Is there something wrong with parameters that I used ?
I attach my scripts for your reference.
Regards
TAN
Question about radius and cut off frequency of LSC in RFCW
Moderators: cyao, michael_borland
Question about radius and cut off frequency of LSC in RFCW
- Attachments
-
- RFCW_example.zip
- example to reproduce figures attached.
- (67.57 KiB) Downloaded 525 times
-
michael_borland
- Posts: 2050
- Joined: 19 May 2008, 09:33
- Location: Argonne National Laboratory
- Contact:
Re: Question about radius and cut off frequency of LSC in RFCW
Tan,
As the beam radius shrinks, the spectrum of LSC extends to proportionally higher frequencies. This makes the simulation more sensitive to high-frequency noise in the particle distribution. You should increase the number of particles and also consider using Halton sequences (see the manual page for &bunched_beam).
--Michael
As the beam radius shrinks, the spectrum of LSC extends to proportionally higher frequencies. This makes the simulation more sensitive to high-frequency noise in the particle distribution. You should increase the number of particles and also consider using Halton sequences (see the manual page for &bunched_beam).
--Michael
Re: Question about radius and cut off frequency of LSC in RFCW
Hi,
Thanks a lot for your great help.
I actually have a similar problem with CSRCSBEND.
I was trying to model the CSR effect (steady state only) of a one-dimensional beam (I set emit_x and emit_y to be 10^-12).
However, the result was subjected to noise with bend angle greater than 1 degree.
In this case, should I use Halton sequence to generate particles to help reducing the noise?
Regards
Tan
Thanks a lot for your great help.
I actually have a similar problem with CSRCSBEND.
I was trying to model the CSR effect (steady state only) of a one-dimensional beam (I set emit_x and emit_y to be 10^-12).
However, the result was subjected to noise with bend angle greater than 1 degree.
In this case, should I use Halton sequence to generate particles to help reducing the noise?
Regards
Tan